Biologia-Geologia.com
Biología y Geología 1º ESO Biología y Geología 3º ESO Biología y Geología 4º ESO Anatomía Aplicada 1º Bach
Biología 2º Bachillerato Geología 2º Bachillerato Blog "Profedebiogeo"

Saltar la navegación

1.3. Los principios inmediatos o biomoleculas

Los principios inmediatos o biomoléculas

Si se realiza un análisis físico de la materia viva, de forma que podamos separar cada una de las sustancias que la componen sin que éstas se alteren, se llega a los llamados principios inmediatos o biomoléculas. Los métodos utilizados para este análisis son la evaporación, la filtración, la destilación, la diálisis, la cristalización, la electroforesis y la centrifugación.

Los principios inmediatos pueden ser:

Principios inmediatos

Simples

Oxígeno molecular (O2) y nitrógeno molecular (N2)

Compuestos

Inorgánicos

Agua, dióxido de carbono y sales minerales

Orgánicos

Glúcidos, lípidos, proteínas y ácidos nucleicos

Vídeo: Bioelementos y biomoléculas de Bio[ESO]sfera (20:00 minutos)

Los principios inmediatos pueden tener distintas funciones:

A continuación se exponen el agua y las sales minerales, así como las propiedades de las disoluciones verdaderas y de las dispersiones coloidales. Los glúcidos, lípidos, proteínas y ácidos nucleicos se estudian en los temas siguientes.

Preguntas que han salido en exámenes de acceso a la Universidad (Selectividad, EBAU, EvAU)

Aragón. Junio de 2017, opción A, cuestión 2. (2 puntos)

b) Defina biomolécula y cite dos ejemplos. (0,5 puntos)

Comunidad Valenciana, Julio de 2019, opción B, bloque 1, cuestión 2

a) ¿Qué son las biomoléculas? (0,5 puntos);

b) Nombra las principales biomoléculas inorgánicas y orgánicas (2 puntos);

c) Explica por qué el carbono es un elemento fundamental en las biomoléculas orgánicas (1,5 puntos).

Navarra, Julio de 2021, pregunta 1

a) Indica dos moléculas que pueden formar parte tanto de la materia viva como inerte.

b) Explica una función de esas moléculas en los seres vivos.

Extremadura, Junio de 2023, pregunta 1

1. Relacionado con la base molecular y fisicoquímica de la vida:

A. Defina oligoelemento y mencione dos ejemplos. (0.5 puntos)
B. Clasifique los tipos de biomoléculas y mencione dos ejemplos de cada tipo. (0.5 puntos)
C. Explique brevemente dos funciones biológicas del agua y dos de las sales minerales. (1 punto)

Actividad basada en Castilla y León, Julio de 2021, pregunta 1

1. a) Define biomolécula. Indicar dos biomoléculas inorgánicas. (0.8)
b) De los 4 grandes grupos de biomoléculas orgánicas identificar aquel o aquellos presentes en cada uno de los siguientes elementos de la lista (1.2):

  • 1. Queratina del pelo:
  • 2. Pared celular:
  • 3. Ácidos biliares:
  • 4. Ceras:
  • 5. Ribosoma:
  • 6. Almidón:
  • 7. Albúmina:
  • 8. Nucleosoma:
  • 9. Envuelta nuclear:
  • 10. Colágeno: 
  • 11. Hormonas sexuales:
  • 12. Membrana plasmática:

Habilitar JavaScript

Cataluña, Junio de 2001, pregunta 1

1) (1 punto)
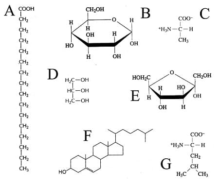
- De las moléculas de la figura, ¿cuáles son monosacáridos?
- Escribe la fórmula resultante de su unión.
- ¿Cómo se llama este enlace?
- ¿Qué tipo de biomolécula resulta?
- ¿Qué tiene que ver este tipo de molécula con la molécula del glúcido que utilizan las células animales para almacenar energía?

2) (1 punto)
- ¿Cuál o cuáles de las moléculas de la figura son ácidos grasos?
- ¿En qué tipo de molécula se encuentran formando parte de las membranas biológicas?
- ¿Con cuál de las moléculas de la figura se combinan los ácidos grasos para almacenar energía en la célula?
Nombra a este compuesto y escribe su fórmula general
- ¿Qué tienen en común las moléculas A y F? Explíquelo.

3) (1 punto)
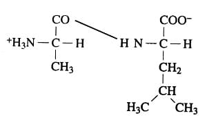
- ¿Cuál o cuáles de las moléculas de la figura son aminoácidos?
- Escribe la fórmula resultante de su unión.
- ¿Cómo se llama este enlace?
- ¿Cómo se llaman los compuestos resultantes de la unión de varios aminoácidos?

Cataluña, Junio de 2014, pregunta 4B (apartado 1)

Unos estudiantes de biología de segundo de bachillerato han hecho una práctica de reconocimiento de diversos principios inmediatos o biomoléculas. La profesora les ha dado cinco recipientes con cinco sustancias diferentes. Los alumnos han realizado varias pruebas para intentar averiguar la sustancia de cada disolución problema.

La tabla siguiente muestra los resultados del conjunto de pruebas que han llevado a término.

 

 

Soluciones problema

 

 

Solución A

Solución B

Solución C

Solución D

Solución E

Prueba

Solubilidad

Soluble en agua

Insoluble en agua

Soluble en agua

Soluble en agua

Soluble en agua

Sabor dulce

no

no

no

Prueba Fehling (color)

azul

azul

Naranja o

rojo

azul

azul

Prueba Lugol

(color)

Azul/negro

amarillo

amarillo

amarillo

amarillo

 

1. Las disoluciones problema contenían glucosa, aceite (triacilglicéridos), sal (cloruro sódico), almidón y sacarosa. Con estos datos y las de la tabla anterior, identifique qué principio inmediato o biomolécula contenía cada una de las soluciones problema. Completa la tabla siguiente y justifique la respuesta. [1 punto]

Solución problema

Nombre de la sustancia

Justificación

A

B

C

D

E

Repasando los principios inmediatos o biomoléculas

Pregunta

¿Qué diferencia hay entre principios inmediatos simples y compuestos?

Respuestas

Los simples tienen menos átomos.

Los compuestos están formados por átomos de diferentes elementos.

Los simples son más complejos.

Los compuestos no tienen función biológica.

Retroalimentación

Pregunta

¿Qué elementos forman principalmente los principios inmediatos orgánicos?

Respuestas

Hierro y oxígeno.

Carbono e hidrógeno.

Calcio y nitrógeno.

Nitrógeno y oxígeno.

Retroalimentación

Pregunta

¿Cuál es un ejemplo de principio inmediato compuesto inorgánico?

Respuestas

Lípidos.

Agua.

Glúcidos.

Proteínas.

Retroalimentación

Pregunta

¿Qué función tienen las sales minerales de los huesos?

Respuestas

Energética.

Estructural.

Biocatalizadora.

Ninguna de las anteriores.

Retroalimentación

Ideas fundamentales sobre biomoléculas o principios inmediatos

Las biomoléculas son las moléculas que forman los seres vivos.

Las biomoléculas pueden ser:

  • Simples: están formadas por átomos del mismo elemento químico, como el oxígeno (O2) y el nitrógeno (N2).
  • Compuestas: están formadas por átomos de diferentes elementos.

Creado con eXeLearning (Ventana nueva)