Biologia-Geologia.com
Biología y Geología 1º ESO Biología y Geología 3º ESO Biología y Geología 4º ESO Anatomía Aplicada 1º Bach
Biología 2º Bachillerato Geología 2º Bachillerato Blog "Profedebiogeo"

Saltar la navegación

2.3.4. Hexosas

Hexosas

Son monosacáridos formados por cadenas de seis átomos de carbono. Las aldohexosas tienen cuatro carbonos asimétricos y, por tanto, hay dieciséis (24=16) posibles estructuras moleculares diferentes, de las que tienen interés en biología la D-(+)-glucosa, la D-(+)-manosa y la D-(+)-galactosa. Entre las cetohexosas destaca la D-(-)-fructosa.

Como la estructura abierta de las hexosas no es lineal, debido a los ángulos que hay entre los enlaces de los carbonos, los primeros átomos y los últimos quedan relativamente próximos. Por eso, en disolución, la estructura lineal generalmente se cierra sobre sí misma formando un hexágono, parecido al de una molécula llamada pirano, o un pentágono, semejante al de una molécula llamada furano.

Glucosa

Es el glúcido más abundante, también llamado azúcar de uva. En la sangre se halla en concentraciones de un gramo por litro.

Los polímeros de glucosa forman importantes polisacáridos:

  • con función de reserva energética, como el almidón en los vegetales o el glucógeno en los animales.
  • con función estructural, como la celulosa de las plantas.

En la naturaleza se encuentra la D-(+) glucosa, también llamada por ello dextrosa (glúcido dextrógiro).

Glucosa: forma lineal y ciclada.

Cuando la glucosa se disuelve en agua, el grupo carbonilo capta una molécula de agua. El hidrato así formado es inestable. El grupo carbonilo (-CHO) queda próximo al quinto carbono, y entre ellos reaccionan sus radicales liberándose una molécula de agua y quedando ambos unidos por un átomo de oxígeno. La molécula adquiere así forma de ciclo hexagonal, como la del pirano, por lo que la molécula se denomina glucopiranosa. Se ha formado un enlace hemiacetal (que es como se denomina la unión de un aldehído con un alcohol) intramolecular. El grupo -OH que ahora tiene el carbono 1 se denomina hidroxilo hemiacetálico. Este carbono es ahora asimétrico y se denomina carbono anomérico. Según la posición de su grupo -OH a un lado u otro del plano, se distinguen dos nuevas estructuras denominadas anómeros: el anómero α y el anómero β.

  • El anómero es α cuando el grupo alcohólico (-OH) del C1, está en posición trans, es decir, al otro lado del plano donde está situado el -CH2OH, unido al C5 (hacia abajo).
  • El anómero es β cuando estos dos radicales están en posición cis, es decir, en el mismo lado del plano (hacia arriba).

Glucosa: de Fisher a Haworth

By Wikimuzg (Made by me with xdrawchem and gimp.) [GFDL or CC-BY-SA-3.0], via Wikimedia Commons

Estas estructuras cíclicas de la glucosa no son planas, sino que pueden adoptar dos conformaciones en el espacio, ya que los enlaces se orientan en el espacio y no en plano:

  • La conformación de nave.
  • La conformación de silla.

La ciclación también puede adoptar la estructura del furano, con forma pentagonal, como es el caso de la ribosa y la desoxirribosa, que se denominan por ello ribofuranosa y desoxirribofuranosa.
 

Animación: Interconversión de las formas alfa y beta de la glucosa en agua.

Galactosa

Se encuentra en la orina de los animales, en forma de β-D-galactosa. En la leche, forma el disacárido lactosa, junto con la D-glucosa. Se la encuentra también como componente de muchos polisacáridos (gomas, pectina y mucílagos).

Galactosa

By User:Rob Hooft (Own work by Rob Hooft) [GFDL or CC-BY-SA-3.0], via Wikimedia Commons

Galactopiranosa

By NEUROtiker (Own work) [Public domain], via Wikimedia Commons

Manosa

Aldohexosa que se encuentra en forma de D-manosa en ciertos tejidos vegetales y polimerizada formando las manosanas, en bacterias, levaduras y plantas superiores.

Fructosa

Es una cetohexosa que se encuentra en forma de β-D-fructofuranosa. Es fuertemente levógira, por lo que también se la llama levulosa. Se encuentra libre en la fruta y, junto a la glucosa, forma el disacárido sacarosa.

La fructosa tiene tres carbonos asimétricos, lo que significa 23= 8 estereoisómeros posibles.

Para formar la estructura cíclica (anillo de furanosa), reacciona el alcohol del C5 con el grupo cetona del C2 (formando un hemicetal). La reacción puede producir dos estereoisómeros:

  • Anómero α, si el grupo -OH del C2 está en el lado contrario del anillo (α-D-fructofuranosa) que C6.
  • Anómero β, si el grupo -OH del C2 está en el mismo lado (β-D-fructofuranosa) que C6.

Forma D y L de fructosa

By NEUROtiker (Own work) [Public domain], via Wikimedia Commons

Beta D fructosa

By NEUROtiker (talk · contribs) (Own work) [Public domain], via Wikimedia Commons

Vídeo: Importancia biológica de los monosacáridos.

Vídeo: Propiedades de los monosacáridos.

Preguntas que han salido en exámenes de acceso a la Universidad (Selectividad, EBAU, EvAU)

Aragón, junio de 2011, opción B, cuestión 2Aragón, septiembre de 2009, opción A, cuestión 4.

Identifique las siguientes moléculas indicando el tipo de biomoléculas que son, sus componentes -en su caso- y sus funciones más importantes. (2 puntos)

Navarra, junio de 2023, pregunta 2

La diabetes es una enfermedad que afecta a los niveles de glucosa en sangre.

a) ¿Qué tipo de biomolécula es la glucosa y qué propiedades presenta?

b) Para evitar su acumulación en sangre, ¿de qué modo se almacena en el organismo? Describe su estructura y propiedades.

c) ¿En qué procesos metabólicos interviene la glucosa en los seres vivos y con qué finalidad?

Comunidad Valenciana, junio de 2023, pregunta 1.1.

A partir de la forma lineal de la fructosa:

Fructosa

a) Indica el número de carbonos asimétricos que posee y el número de isómeros ópticos posibles (1 punto).
b) La fructosa puede tener dos formas cíclicas. Señala qué grupos reaccionan para formar la estructura cíclica (anillo de furanosa) y en qué se diferenciarían las dos formas indicando sus nombres (3 puntos).

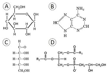
Andalucía, junio de 2024, pregunta C.1. 

Atendiendo a la imagen adjunta indique:

a) ¿Qué molécula o moléculas de las representadas son glúcidos? [0,3] ¿y cuál es su nombre? [0,3]

b) De los glúcidos representados, ¿cuál podría formar parte de los ácidos nucleicos? ¿de cuál? [0,3]

c) ¿Cuál de ellas tiene función energética? [0,1]

Repasando las hexosas

Pregunta

¿Cuál de las siguientes no es una aldohexosa?

Respuestas

Glucosa.

Manosa.

Fructosa.

Galactosa.

Retroalimentación

Pregunta

¿Qué conformaciones espaciales pueden adoptar las estructuras cíclicas de la glucosa?

Respuestas

Cúbica y esférica.

Conformación de nave y conformación de silla.

Planar y lineal.

Tetraédrica y octaédrica.

Retroalimentación

Pregunta

¿Qué tipo de monosacárido es la galactosa?

Respuestas

Aldopentosa.

Aldohexosa.

Cetopentosa.

Cetohexosa.

Retroalimentación

Pregunta

¿Qué disacárido se forma a partir de la galactosa y la glucosa?

Respuestas

Maltosa.

Lactosa.

Sacarosa.

Celobiosa.

Retroalimentación

Pregunta

¿Qué tipo de estructura adoptan las hexosas en disolución?

Respuestas

Lineal.

Cúbica.

Cíclica.

Piramidal.

Retroalimentación

Pregunta

¿Cómo se denomina el grupo -OH que se forma en el carbono 1 de la glucosa al ciclarse?

Respuestas

Hidroxilo carbonílico.

Hidroxilo hemiacetálico.

Hidroxilo furanoso.

Hidroxilo glucósido.

Retroalimentación

Pregunta

¿Cuál es el anómero de la glucosa cuando el grupo -OH del C1 está en posición trans respecto al -CH2OH del C5?

Respuestas

α.

β.

δ.

γ.

Retroalimentación

Creado con eXeLearning (Ventana nueva)