Biologia-Geologia.com
Biología y Geología 1º ESO Biología y Geología 3º ESO Biología y Geología 4º ESO Anatomía Aplicada 1º Bach
Biología 2º Bachillerato Geología 2º Bachillerato Juegos de Biología y Geología

Saltar la navegación

5.1.4. Los nucleotidos

Nucleótidos

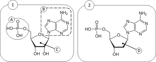
Los nucleótidos se forman por la unión mediante un enlace éster, de una molécula de ácido fosfórico y un nucleósido, por el grupo hidroxilo del quinto carbono (carbono 5') de la pentosa.

Los nucleótidos tienen, por tanto, un fuerte carácter ácido.

Nucleósido + ácido fosfórico = Nucleótido

By Nucleotides_1.svg: Boris (PNG), SVG by Sjefderivative work: Huhsunqu (Nucleotides_1.svg) [CC BY 3.0], via Wikimedia Commons

Cada nucleótido está formado por tres componentes:

  • Bases nitrogenadas: moléculas orgánicas cíclicas que contienen nitrógeno. Derivan de la purina y pirimidina:
    • Bases nitrogenadas púricas: son la adenina (A) y la guanina (G). Ambas forman parte del ADN y del ARN, y tienen una estructura formada por dos ciclos similares a la purina.
    • Bases nitrogenadas pirimidínicas: son la timina (T), la citosina (C) y el uracilo (U). Tienen una estructura formada por un solo ciclo similar a la pirimidina.
      • En el ADN: la timina y la citosina.
      • En el ARN: la citosina y el uracilo.
  • Pentosa: el monosacárido de cinco átomos de carbono puede ser ribosa (ARN) o desoxirribosa (ADN).
  • Ácido fosfórico, H3PO4: Cada nucleótido puede contener uno (como el AMP), dos (como el ADP) o tres (como el ATP) grupos fosfato.

Según el nucleótido tenga ribosa o desoxirribosa se denominan ribonucleótidos y desoxirribonucleótidos.

Los nucleótidos se denominan quitando la “a” final del nombre del nucleósido y añadiendo el término «5'-monofosfato». Así tenemos que:

  • Los nucleótidos de ARN son el adenosín-5'-monofosfato (AMP), el guanosín-5'-monofosfato (GMP), el citidín-5'-monofosfato (CMP) y el uridín-5'-monofosfato (UMP).
  • Los nucleótidos de ADN son el desoxiadenosín-5'-monofosfato (dAMP), el desoxiguanosín-5'-monofosfato (dGMP), el desoxicitidín-5'-monofosfato (dCMP) y el desoxitimidín-5'-monofosfato (dTMP).

Pero normalmente, para nombrar a cada nucleótido, utilizaremos la inicial de cada base nitrogenada (A, G, C, T).

Enlaces en los nucleótidos

  • Enlace N-glucosídico, entre la pentosa y la base nitrogenada, formando un nucleósido.
  • Enlace fosfoéster, entre el grupo fosfato y la pentosa (del nucleósido), liberándose una molécula de agua entre un OH del fosfato y otro OH de la pentosa.
  • Enlace fosfodiéster o nucleotídico, enlace entre dos nucleótidos consecutivos. Es un enlace de tipo éster que se establece entre el grupo fosfato (PO4) unido al carbono 5´ de la pentosa de un nucleótido y el grupo hidroxilo (-OH) del carbono 3' de la pentosa de un nucleótido.

Otros enlaces que hemos visto en este curso:

  • Enlace éster, en algunos tipos de lípidos. Se forma cuando un ácido graso reacciona con un alcohol, como los grupos hidroxilo (-OH) del glicerol y grupos carboxilo (-COOH) de los ácidos grasos. En la reacción de condensación, los grupos hidroxilo del glicerol reaccionan con los grupos carboxilo de uno, dos o tres ácidos grasos, liberando una, dos o tres moléculas de agua.
  • Enlace glucosídico, en los glúcidos (disacáridos, oligosacáridos o polisacáridos) y se forma cuando reaccionan dos monosacáridos enlazándose por dos grupos hidroxilo (-OH). Durante la reacción de condensación, uno de los grupos hidroxilo se une al grupo hidroxilo de otro monosacárido, liberando una molécula de agua.
  • Enlace peptídico, en las cadenas polipeptídicas (o proteínas) y se establece entre aminoácidos. Se produce un enlace entre el grupo amino (-NH2) de un aminoácido y un grupo carboxilo (-COOH) de otro aminoácido. Durante la reacción de condensación, el grupo amino de un aminoácido se une al grupo carboxilo del otro, liberando una molécula de agua.
  • Enlace por puente disulfuro, se produce en la proteínas, al unirse dos cisteínas de una misma cadena polipeptídica o de dos cadenas distintas.
  • Enlace hemiacetal, en los monosacáridos al unirse el grupo aldehído y el grupo alcohol de un monosacárido que da lugar a la forma cíclica del mismo.

Error común

Un error que aparece en algunos exámenes es el confundir un nucleótido con un ácido nucleico. Si en un examen aparece la imagen de una pentosa (ribosa o desoxirribosa), una base nitrogenada y algún ácido fosfórico, es un nucleótido, no un ácido nucleico.

Cuestión de reflexión

Andalucía, examen de reserva A de 2024, pregunta A.1.

a) Defina base nitrogenada [0,5].

b) Enumere y clasifique las bases nitrogenadas que forman parte de los ácidos nucleicos [0,7]

c) ¿En qué consiste la complementariedad de las bases nitrogenadas? [0,5]

d) Nombre los dos tipos de monosacáridos que forman parte de los ácidos nucleicos [0,3].

Cuestión de reflexión

Cantabria, junio de 2025, opción 2

Los ácidos nucleicos son macromoléculas biológicas esenciales para el almacenamiento, la transmisión y la expresión de la información genética.

a) Indique cómo se denomina a las subunidades o monómeros que constituyen los ácidos nucleicos.

b) ¿Cuáles son los tres componentes que, combinados, forman estos monómeros?

c) ¿Qué tipo de enlace une a dichos monómeros entre sí? Dibuje la reacción de formación de dicho enlace.

d) Explique dos funciones que desempeñan estos monómeros.

Preguntas que han salido en exámenes de acceso a la Universidad (PAU, Selectividad, EBAU, EvAU)

Asturias, Junio de 2020, pregunta 1A

Pregunta 1A- La figura representa una biomolécula muy importante en los seres vivos.

1. Conteste las preguntas siguientes:

a. ¿De qué biomolécula se trata?
b. ¿Cómo se denomina cada una de las partes que se diferencian en la figura?
c. ¿En qué macromoléculas se encuentra como componente? (Calificación máxima 1 punto)
d. Sustancias formadas con esta base nitrogenada intervienen en procesos celulares de obtención de energía. Indique dos de estos procesos señalando en qué orgánulos celulares ocurren. (Calificación máxima 1 punto)

País Vasco, Julio de 2018, opción A, cuestión 1

Los nucleótidos y nucleósidos:

a) Dibuja las estructuras de un nucleósido y de un nucleótido. ¿En qué se diferencian estos compuestos? (0,75 puntos)

b) ¿Qué papel desempeñan las bases púricas y pirimidínicas en la composición de estos compuestos? Indica algunos ejemplos de estas bases. (0,75 puntos)

c) ¿Qué relación tiene el ATP con uno de los nucleótidos? Razona tu respuesta. (0,25 puntos)

d) ¿Qué tipos de macromoléculas se puede obtener por polimerización de nucleótidos? (0,25 puntos)

Galicia, Julio de 2020, pregunta 1

a) Identifique las biomoléculas A, B y C de la figura 1.

b) ¿Cómo se denominan los monómeros que forman las proteínas, mediante qué enlaces se unen y que grupos intervienen en el enlace?

c) Indica cuáles son los monómeros de los ácidos nucleicos y qué enlace emplean para unirse.

d) ¿Qué tipo de biomolécula es el colesterol? Indique una de sus funciones. (2 puntos)

Aragón, Junio de 2021, pregunta 6

6.- En relación con la figura adjunta, conteste las siguientes cuestiones: (2 puntos)

a) ¿Qué tipo de biomolécula representa cada una? (0,3 p)
b) Indique el nombre de los componentes señalados con las letras A, B, C y D. Cite los cuatro compuestos posibles que pueden ocupar la posición E. (0,8 p)
c) Especifique el tipo de enlace bioquímico que aparece entre los componentes B y C y entre A y C. (0,3 p)
d) Si la molécula 1 perdiese el componente B, ¿cómo se denominará la molécula resultante? (0,2 p)
e) Si se polimerizan un gran número de moléculas similares a la molécula 2, ¿qué macromolécula se formará? Cite tres estructuras celulares donde aparezca este tipo de macromolécula en una célula vegetal. (0,4 p)


Comunidad Valenciana, Junio de 2021, pregunta 1.1.

1.1. Respecto a los ácidos nucleicos, indica:

a) Cuáles son los monómeros que los forman y cuáles son los componentes de estos (2 puntos).
b) Cuáles son las diferencias que existen entre los monómeros que forman parte de las moléculas de RNA y de DNA (1 punto).

La Rioja, Julio de 2021, pregunta 4

Explique la estructura y composición de los nucleótidos y los enlaces que participan en su formación. Diferencie entre los distintos tipos de nucleótidos.

Murcia, Julio de 2021, pregunta 1.2

1.2. En relación con los ácidos nucleicos indique:

a) ¿Cuáles son los componentes de un nucleótido? (0,3 puntos)
b) ¿Cuáles son las bases nitrogenadas derivadas de la purina y cuáles de la pirimidina? (0,4 puntos)
c) ¿Qué bases nitrogenadas forman parte de la composición del ADN y del ARN? (0,3 puntos)
d) ¿Qué tipos de enlaces soportan la estructura de los ácidos nucleicos? (0,4 puntos).
e) Dibuje la estructura de un ribonucleótido y un desoxirribonucleótido. (0,5 puntos)
f) Indique la diferencia fundamental entre ribonucleótido y desoxirribonucleótido. (0,1 puntos)

Extremadura, Julio de 2022, pregunta 1

Respecto a los nucleótidos:

A. Cite los componentes y señale los tipos de enlaces que se establecen entre ellos. (1 punto)
B. Mencione dos diferencias entre los nucleótidos del ADN y del ARN. (0.5 puntos)
C. ¿Qué tipo de enlace une dos nucleótidos de una misma cadena? Indique cómo se produce. (0.5 puntos)

La Rioja, Junio de 2023, pregunta 3

Con relación a los nucleótidos:

a) Indica qué es un nucleótido. (0,3 puntos).
b) Haz un esquema básico de un nucleótido. Indica sus componentes y cómo se disponen. (0,4 puntos)
c) ¿Qué funciones pueden tener? (0,3 puntos)

Navarra, Julio de 2023, pregunta 4.

a) Dibuja la estructura de los nucleótidos.

b) Explica en base a que parte de la molécula se determina la información genética.

Cantabria, Julio de 2023, pregunta 3

¿A qué grupo de biomoléculas pertenecen las dos representadas en la figura 2? ¿Qué macromolécula resulta de la polimerización de cada una de estas moléculas? Indique el nombre de los componentes señalados con las letras A, B, C y D, y cite los cuatro compuestos posibles que pueden ocupar la posición B. Especifique el tipo de enlace bioquímico que aparece entre los componentes B y C y entre A y C, y dibuje las reacciones de formación de: a) el enlace entre B y C; b) el enlace entre A y C.

Castilla y León, Julio de 2023, pregunta 1

En relación con la imagen representada, responda a las siguientes cuestiones:

a) Identifique la biomolécula y sus componentes. (1)
b) Qué tipos de enlaces señalan las flechas. (0,6)
c) Si en el componente 1 se sustituye el radical OH del C2 por un H, ¿qué nombre recibe la biomolécula? (0,2)
d) ¿Qué nombre reciben las macromoléculas que resulta de la unión de estas biomoléculas? (0,2)

Andalucía, Julio de 2023, pregunta A.1.

a) Indique los tipos de moléculas que se pueden obtener por hidrólisis de un nucleósido y de un nucleótido.

b) Cite el nombre de tres nucleótidos que participen en procesos metabólicos.

c) ¿Qué tipos de enlaces soportan la estructura bicatenaria de los ácidos nucleicos?

d) Describa una función estructural y otra energética de los nucleótidos.

Galicia, Junio de 2024, pregunta 2

A) Indique qué tipo de biomolécula está representada en las imágenes, marcadas como 1 y 2, en la figura 2.
B) Indique el nombre de los componentes señalados con las letras A, B, C y D.
C) Cite los cuatro compuestos posibles que se pueden encontrar en la posición E.
D) ¿Qué tipo de enlace se establece entre los componentes B y C?, ¿y entre A y C?

E) Si la molécula señalada con el n.º 1 perdiera el componente B, ¿cómo se denominaría la molécula resultante?
F) Si se polimerizan un gran número de moléculas como las señaladas con el n.º 2, ¿qué macromolécula se formará?
G) Cite tres estructuras celulares donde aparezca este tipo de macromolécula en una célula vegetal.

Cantabria, Julio de 2024, pregunta 3

Los seres vivos contienen diversos ácidos nucleicos que son esenciales para el almacenamiento y expresión de la información genética.

a) ¿Cómo se denominan los monómeros que dan lugar a estas biomoléculas?
b) Nombre las tres partes de las que se componen dichos monómeros, y explique la diferencia que da lugar a los dos tipos de ácidos nucleicos.
c) Por último, nombre el tipo de enlace que une a los diversos monómeros entre sí, y dibújelo indicando todos los productos de la reacción.

Madrid, Julio de 2024, pregunta B.3.

En relación con las biomoléculas:
Todos los enlaces de unión entre monómeros para constituir los cuatro grupos principales de biomoléculas son enlaces de condensación, en los que se produce la liberación de una molécula de agua.

a) Indique cómo se llama el enlace y qué grupos funcionales se unen para formar un disacárido (0,5 puntos).
b) Indique cómo se llama el enlace y qué grupos funcionales se unen para formar un triglicérido (0,5 puntos).
c) Indique cómo se llama el enlace y qué grupos funcionales se unen para formar un dipéptido (0,5 puntos).
d) Indique cómo se llama el enlace y qué grupos funcionales se unen para formar un dinucleótido (0,5 puntos).

Ideas fundamentales sobre nucleótidos

Los nucleósidos están formados por la unión de una ribosa o de una desoxirribosa, con una base nitrogenada, mediante un enlace N-glucosídico.

Los nucleótidos se forman por la unión mediante un enlace éster, de una molécula de ácido fosfórico y un nucleósido,

Dos nucleótidos consecutivos se unen mediante un en enlace fosfodiéster

  • Composición de los nucleótidos:
    • Los nucleótidos de ADN están formados por:
      • Desoxirribosa.
      • Ácido fosfórico. H3PO4.
      • Bases nitrogenadas:
        • Adenina.
        • Citosina.
        • Timina.
        • Guanina.
    • Los nucleótidos de ARN están formados por:
      • Ribosa.
      • Ácido fosfórico. H3PO4.
      • Bases nitrogenadas:
        • Adenina.
        • Citosina.
        • Uracilo.
        • Guanina.
  • Localización de los ácidos nucleicos:
  • Funciones de los ácidos nucleicos

Repasando los nucleótidos

Pregunta

¿Cómo se forman los nucleótidos?

Respuestas

Por la unión de una base nitrogenada y un ácido fosfórico.

Por la unión de una pentosa y un ácido fosfórico.

Por la unión de una base nitrogenada y una pentosa.

Por la unión de un ácido fosfórico y un nucleósido.

Retroalimentación

Pregunta

¿Cuáles son las bases nitrogenadas derivadas de la purina?

Respuestas

Timina y citosina.

Adenina y guanina.

Adenina y uracilo.

Timina y guanina.

Retroalimentación

Pregunta

¿Cuál es la estructura de las bases púricas?

Respuestas

Un ciclo similar a la pirimidina.

Dos ciclos similares a la purina.

Dos ciclos similares a la pirimidina.

Un ciclo similar a la purina.

Retroalimentación

Pregunta

¿Qué tipo de enlace se forma entre la pentosa y la base nitrogenada en los nucleótidos?

Respuestas

Enlace N-glucosídico.

Enlace fosfoéster.

Enlace fosfodiéster.

Enlace peptídico.

Retroalimentación

Pregunta

¿Qué enlace se establece entre el grupo fosfato y la pentosa en los nucleótidos?

Respuestas

Enlace N-glucosídico.

Enlace fosfoéster.

Enlace fosfodiéster.

Enlace peptídico.

Retroalimentación

Pregunta

¿Qué enlace se forma entre dos nucleótidos consecutivos en una cadena?

Respuestas

Enlace N-glucosídico.

Enlace fosfoéster.

Enlace fosfodiéster o nucleotídico.

Enlace peptídico.

Retroalimentación

Creado con eXeLearning (Ventana nueva)