Biologia-Geologia.com
Biología y Geología 1º ESO Biología y Geología 3º ESO Biología y Geología 4º ESO Anatomía Aplicada 1º Bach
Biología 2º Bachillerato Geología 2º Bachillerato Blog "Profedebiogeo"

Saltar la navegación

3.5.7.3. Arboles genealogicos 4

Más problemas de genética con árboles genealógicos resueltos. (Página 34)

Problema de genética al azar

Problema de genética 1

Madrid, Julio de 2021, pregunta A1

Con relación a las aportaciones de Mendel al estudio de la herencia:

La genealogía adjunta muestra la transmisión de una enfermedad monogénica y autosómica en una familia. En negro se muestran los individuos afectados y en blanco los sanos (los hombres se representan con un cuadrado y las mujeres con un círculo).

a) Indique si el alelo que determina la presencia de la enfermedad es dominante o recesivo. Razone la respuesta (0,5 puntos).

b) Indique los genotipos de los individuos I.1, I.2, II.7 y III.11, utilizando “A” para el alelo dominante y “a” para el recesivo (1 punto).

c) Defina qué es un cruzamiento prueba y para qué se emplea (0,5 puntos).

Problema de genética 2

Asturias, julio de 2022, pregunta 5

Nettie Maria Stevens fue una genetista estadounidense de ascendencia inglesa y sueca que a finales del siglo XIX contribuyó a establecer experimentalmente la relación entre el comportamiento de los cromosomas y la herencia mendeliana. En la figura se indica la transmisión familiar de una enfermedad humana, el síndrome de Alport, un trastorno genético monogénico que produce pérdida parcial de la función renal, clasificada como “enfermedad rara” por tener una incidencia menor a 1 caso por 100.000 habitantes. Los individuos en negro manifiestan la enfermedad y los en blanco no. Las mujeres se representan con un círculo y los hombres con un cuadrado.

a. Indica los genotipos de todos los individuos. Utiliza la letra “A” mayúscula para el alelo dominante y la “a” minúscula para el recesivo (Aa o XAXa, somático o ligado al sexo). (Calificación máxima 0,5 puntos)

b. Indica si el gen que determina ese fenotipo es dominante o recesivo y si es autosómico o está ligado al sexo. Razona la respuesta. (Calificación máxima 0,5 puntos)

c. Indica si hay individuos en los que no se pueda especificar el genotipo, que puedan ser AA o Aa (A-) o bien XAXA o XAXa (XAX-). (Calificación máxima 0,5 puntos)

d. ¿Puede alguna mujer transmitir esta enfermedad sin padecerla? Razona la respuesta. (Calificación máxima 0,5 puntos)

Problema de genética 3

Aragón, Julio de 2022, pregunta 6

La feniltiocarbamida (PTC) es una sustancia que resulta extremadamente amarga para ciertos individuos (“gustadores”), mientras que para otras personas carece de sabor (“no gustadores”). Este hecho viene determinado por un gen autosómico. En el siguiente árbol genealógico se representan los fenotipos de los integrantes de una familia, tras realizar un test para valorar su capacidad de detectar la PTC (los hombres se representan con un cuadrado y las mujeres con un círculo. En negro se representan los “no gustadores” y en blanco los “gustadores”): (2 puntos)

a) ¿El carácter “gustador” es dominante o recesivo? Escriba el posible genotipo de las cuatro parejas y de los individuos de la generación IV. (0,8 puntos)

b) Teniendo en cuenta la respuesta anterior, confirme que se trata de un gen autosómico, y que no está ligado al sexo, mediante el genotipo de una de las parejas y su descendencia. (0,2 puntos)

c) ¿Podría la pareja 3 tener un hijo “no gustador”? Razónelo. (0,2 puntos)

d) Defina los siguientes términos: alelo, herencia intermedia, mutación cromosómica y mutación genómica. (0,8 puntos)

Problema de genética 4

Galicia, Julio de 2022, pregunta 5

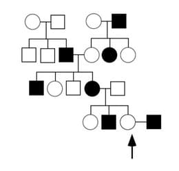
En el árbol genealógico de la figura 3 se muestra la transmisión de un carácter en una familia (hombres representados con cuadrados y mujeres con círculos). El carácter está determinado por un solo gen ligado al sexo (situado en el cromosoma X) y presenta dos alternativas indicadas en blanco y en negro.

a) Indique la probabilidad de cada tipo de descendientes de la mujer señalada con una flecha y su pareja (un hombre hemicigoto recesivo).

b) Indique la probabilidad de cada tipo de gametos que producirá la mujer señalada con una flecha.

c) Dibuje de nuevo el árbol genealógico en su hoja indicando los genotipos de todos los individuos.

IMPORTANTE: señale qué símbolo emplea para cada uno de los alelos.

Problema de genética 5

Extremadura, Julio de 2023, pregunta 7

La figura muestra el árbol genealógico de una familia en la que aparece una determinada enfermedad hereditaria. Los cuadrados representan individuos de sexo masculino y los círculos, de sexo femenino. El color negro indica la presencia de la enfermedad y el color blanco, su ausencia.

A. Si consideramos que se trata de una herencia autosómica recesiva, indique los genotipos de la pareja de la primera generación parental (línea I) y de sus cuatro descendientes (línea II). (1 punto)
B. Si consideramos que se trata de una herencia recesiva ligada al cromosoma X, indique los genotipos de la pareja de la primera generación parental (línea I) y de sus cuatro descendientes (línea II). (1 punto)

Problema de genética 6

Cantabria, Julio de 2023, pregunta 13

En la figura 5, aparece el árbol genealógico de una familia, muchos de cuyos miembros presentan un lunar característico. La presencia de este carácter se indica en color negro, y está determinado por un solo gen. Indique si el alelo que determina la presencia del lunar es dominante o recesivo. Razone la respuesta detallando posibles genotipos de todos los individuos. ¿Podría tratarse de un gen ligado al sexo? Razone la respuesta.

Problema de genética 7

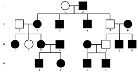
Madrid, Julio de 2022, pregunta B1

El esquema adjunto muestra la transmisión de un carácter en una familia, representado por los símbolos oscuros, producido por un solo gen autosómico con dos alelos, a través de tres generaciones.

a) Indique si el carácter presenta herencia dominante o recesiva. Razone la respuesta (0,75 puntos).
b) Indique los genotipos de los individuos I.1, I.3, II.2, II.4, II.5, y III.2, utilizando “A” para el alelo dominante y “a” para el alelo recesivo (0,75 puntos).
c) Indique las proporciones genotípicas de la descendencia entre el individuo III.1 con otro individuo que manifieste el carácter asociado con el símbolo oscuro. ¿El carácter se manifiesta en la descendencia? (0,5 puntos).

Creado con eXeLearning (Ventana nueva)